
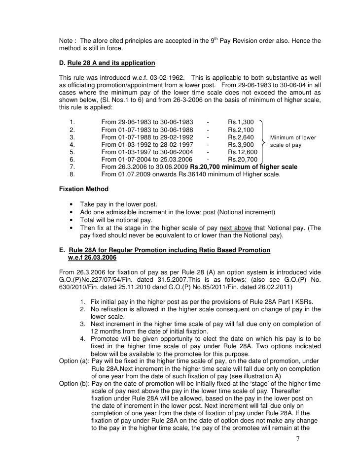
Higher Grade Fixation Software Kerala
• • • • • • ➡️ • ➡️ • ➡️ • ➡️ Pay Revision 2014 De- Merger of Selection Grade Typist and Senior Grade Typist – Fixation of Pay – Further Orders Pension – Prior Service in Aided School/College of the Aided School/College Staffs- Declared non qualifying Service for pension -Orders Benefit of Time Bond Higher Grade Reckoning War/Military Service as Qualifying Service-Further Clarification Order Reckoning of prior Service in aided school – Judgement in W P (C)No.20495/13 filed by Sri.A J Joseph- Complied with – Orders issued ➡️.
The software tool prepared by Sri. Surendran sir assists the preparation of Higher Grade and Selection Grade of Govt/Aided Higher Secondary School Teachers.
PAY REVISION DEMANDS From The General Secretary. Time bound higher grade benefits and anomalies in the previous pay revisions in the case of Overseer Gr. III, Draftsman Gr. II and Draftsman Gr. Kerala Water Authority Pay Fixation KWA software for getting Kerala Water Authority KWA Pay fixation software. Reply Delete. GRADE FIXATION STATEMENT Prepared by muralipanamanna Scheme for Time Round Higher Grade Promotion Rule 28/30 and Grade Fixation Revision of Pay and Allowances of State Government Employees based on the recommendation of the Tenth Pay Revision Commission -Order of the Government for implementation-reg Kerala Service Rules -10 Pay Revision Promotion from Time Bound.
The Regional Deputy Director concerned is the grade sanctioning authority for Aided school teachers. The service details of the teachers have to be gathered and submitted to the RDD for this purpose. The preparation of grade fixation of Govt/Aided Higher secondary school teachers is possible with the help of the software tool prepared by Sri. Surendran sir.
Click the link to download the software.